智慧树知到《大学物理实验》章节测试答案
正确答案:在等容过程中,气体吸收的热量全部用来增加其内能
6、在空气比热容比的测量实验中,做好本实验的关键是放气要进行得十分迅速,这样可以认为瓶内气体进行的热力学过程是()。
A.等容放热
B.绝热膨胀
C.等温
D.等容吸热
正确答案:绝热膨胀
7、在空气比热容比的测量实验中,如果储气瓶密封性不够好,在实验过程中的漏气现象会导致实验测得的比热容比的值()
A.无影响
B.不确定
C.偏小
D.偏大
正确答案:偏小
8、测空气摩尔热容比实验测定空气摩尔热容比使用的方法是绝热膨胀法。
A.正确
B.错误
正确答案:正确
9、测空气摩尔热容比实验的传感器为温度传感器和压力传感器。
A.正确
B.错误
正确答案:正确
10、测空气摩尔热容比实验原理中研究的气体是放气后瓶中剩余的气体。
A.正确
B.错误
正确答案:正确
第四章单元测试
1、在热导率的测量实验中,导热系数的测定实验的误差主要来源于()。
A.流速不稳定
B.系统没有达到稳定状态
C.其余都是
D.D端流出的水重复使用
正确答案:其余都是
2、铜的热导率的变化规律结果是
A.随着温度的增加,热导率忽大忽小无规律变化
B.随着温度的增加,热导率是增大的
C.随着温度的增加,热导率是减少的
D.随着温度的增加,热导率不变
正确答案:随着温度的增加,热导率是减少的
3、材料的热导率与实验过程中循环水流速是否有关。()
A.随着循环水流速的变化,材料的热导率不变
B.随着循环水流速的增加,材料的热导率忽大忽小无规律变化
C.随着循环水流速的增加,材料的热导率是减少的
D.随着循环水流速的增加,材料的热导率是增大的
正确答案:随着循环水流速的变化,材料的热导率不变
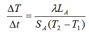
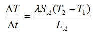
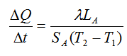
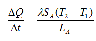
4、测量良导热体热导率时,描述稳恒状态的正确公式是:()。
A.

B.

C.

D.

正确答案:

5、测量良导热体的热导率方法是否与不良导热体的方法一样?()
A.不是
B.视情况而定
C.是
正确答案:是
6、热导率是表示物质()性质的物理量。()
A.热温度
B.热辐射
C.热传导
D.热对流
正确答案:热传导
7、下列哪些物质属于良导热体?()
A.水
B.玻璃
C.铝块
D.泡沫
正确答案:铝块
8、测量良导热体热导率时,测试仪上为什么要设置时钟?()
A.记录加热的时间